
Petwant PF-122 Automatic Pet Feeder with Window

Features of Automatic Pet Feeder

Assemble and Use
- Gently pinch the blue button on the front to open the lid, add food as needed, and close the lid.

- Install a D-size battery*3.
- Please switch on and pinch the blue button to open the lid.
- Fill in the appropriate amount of pet food and close the lid.

- Set meal time and meal portions.

Setting Guide
- Initial Setting:
- Please confirm that you have switched on.
- Long-press the “Manual” button, and the feeder would rotate by one grid.
- Repeat the instruction above 3 times; the feeder is normal if it rotates by one grid each time.
- Set Current Time:
- Press and hold the “Time” button; meanwhile, press the “Hour” button to set the hour.
- Press and hold the “Time” button; meanwhile, press the “Minute” button to set the minute time.
- Set Meal Time and Meal Portion:
- Press and hold the “Breakfast” button; meanwhile, press the “On/Off” button twice to set whether to feed breakfast. The “On” beside the “ breakfast” button indicates to feed, and the “Off” indicates not to feed.
- Press the “Breakfast” button. Meanwhile, press the “Meal Size” button to set the breakfast feeding quantity. “1” means to rotate one grid (about 10g), and you can set at most 20 portions (about 200g).
- Press the “Breakfast” button. Meanwhile, press the “Hour” button to set the hour of breakfast; Press the “Breakfast” button, meanwhile, press the “Minute” button to set the minute of breakfast.
- Set Lunch, Supper, and the Fourth Meal Time: Please refer to the above instructions, press the “Lunch/- Supper/Meal 4th” button, and meanwhile, press the corresponding button to set lunch, supper, and the fourth meal.
- Record and Play: Long-press and hold the “Mic” button until you have finished recording. The indicator light will turn red, which indicates to start voice recording. A
signal will show on the screen when the voice recording is completed. You can record about 10 seconds and press the “Play” button to play what you recorded.
Detailed Settings and Descriptions
- Set Current Time:
The factory time when first powered on is 12:00 AM.
For example, the current time is 21:51.- Long-press the “time” button; meanwhile, press the “Hour” button until 21 is displayed on the hour position.
- Long-press the “time” button; meanwhile, press the “Minute” button until 51 is displayed on the minute position.

- Check and set breakfast time and portions:
To check the breakfast time and portions: Please long-press the “Breakfast” button. The time on the screen will shift from the current time to the breakfast time and portions. The product’s default breakfast time is 8:00 am, as shown below.
The “Meal Size” indicates the breakfast portions; “1” means dispense one portion. The accurate volume of one portion is based on the different sizes of your pet’s food(You can set at most 20 portions with 10g per portion).
Breakfast Time and Portions Setting :
No change is required if the preset value of breakfast matches your pet well. To make any setting changes, the operations are as follows 🙁 For example, to change the portions “Meal Size” to 3, “Meal Time” to 07:21)- Long-press and hold the “Breakfast” button; meanwhile, press the “On/Off” button twice to set whether to set breakfast. The “On” beside the breakfast button indicates to feed, and the “Off” indicates not to feed.
- Press the “Breakfast” button. Meanwhile, press the “Meal Size” button to set the breakfast portions to 3.
- Press the “Breakfast” button. Meanwhile, press the “Hour” button to set the hour of breakfast time to 7:00. Press the “Breakfast” button, meanwhile, press the “Minute” button to set the minute of breakfast time to 21.

- Check and Set Lunch Time and Portions:
Long-press and hold the “Lunch” button. The time on the screen will shift from the current time to the lunch time and portions.
Product default value: No lunch setting, namely, “Off ” is on the lunch position.
Check and set lunch time and portions:
In case of any changes, such as changing to activate the lunch setting, please press the “Lunch” button. Meanwhile, press the “On/Off ” button to shift from “Off” to “On.” The preset value of “Meal Size” is 1. You could press the “Lunch” button, and meanwhile, press the “Meal Size” button to make the changes.
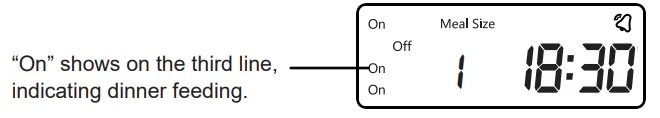
The preset value of “Meal Time” is 12:00; you could press the “Lunch” button, meanwhile, press the “Hour” button or “Minute” button to make changes to the feeding time. - Check and Set Time and Portions for Dinner and the Fourth Meal:
Press and hold the “Dinner” button. The time on the screen will shift from the current time to the dinner time and portion.
Product default value: Feeding portion is 1; Feeding time: 18:30, as shown below. The setting method follows the instructions above.
Check the time and portions of the 4th Meal:
Press and hold the “4th Meal” button. The time on the screen will shift from the current time to the 4th Meal time and portions.
Product default value: Feeding time: 22:00, as shown below. The setting method follows the instructions above.
- Record and Play Setting: To record a voice to remind your pet of a meal, you could record your voice for less than 10 seconds. For example, to record“Time for a meal, Poppy,” the instruction is as follows:
Start Recording:- Long-press and hold the “Mic” button until the indicator is on. (about 2 seconds)
- Speak loudly into the microphone, “ Time for a meal, Poppy.”
- Let go when you complete the recording, the record signal shows on the top right corner of the screen.
The feeder will play your voice recording three times for each meal to remind your pet.
Cancel the recording: Long-press the “Play” button until the record signal is gone.
Play: Press the “Play button to check what you have recorded.
- Instant Feeding: To activate the instant feeding function, you may long-press the “Manual” button, and the feeder will rotate by one grid.
- There is a Low Battery indicator on the right side of the control panel. When you plan to go out for a business trip, please make sure to check whether the Low Battery indicator is on. In case of lighting or flashing during discharging or sounding, please replace the battery in time to prevent starvation.
- Do not put your fingers into the feeder at any time.
- This feeder uses D-size battery *3.
Note: Please dispose of the used batteries according to national regulations (pay attention to environmental protection). If you do not use the feeder for a long time, please remove the battery to prevent the electrolyte from flowing out. - Please do not fill semi-dry or wet pet food into the feeder; this product is only applicable for dry pet food.
- Please contact the distributor or manufacturer for any questions.
Frequently Asked Questions and Answers
What’s the problem if my feeder dispenses inaccurately, or the display screen is uncl,r or my feeder stops working?
Such problems occurring after a period of usage are mostly caused by low battery power. Please replace the new alkaline D-size battery.
How to clean the feeder?
This product cannot be placed outdoors or exposed to the rain. Please use a wet cloth to clean it and prevent water from entering the feeder. The food tank and food bowl can be washed with water.

How do I check the portions I set?
Press the Breakfast/Lunch/Supper/Meal 4th button to check the portions you have set.
For more manuals by Petwant, visit ManualsLibraryy
Petwant PF-122 Automatic Pet Feeder with Window- FAQs
How do I use the Petwant PF-122 automatic feeder?
Fill the food container, set meal times through the control panel or app (if Wi-Fi enabled), and the feeder will dispense food at the scheduled times.
Why is my automatic pet feeder not working?
Check if it’s plugged in or has fresh batteries. Ensure the food outlet is not blocked and Wi-Fi (if used) is properly connected.
How do I assemble the feeder?
Attach the food container to the base, place the feeding tray securely, and close the lid. Always make sure parts click into place before use.
How do I reset the feeder?
Press and hold the “Feed” button for about 5 seconds until a sound is heard. This returns the feeder to its factory settings and clears previous data.
Why is the light flashing on my feeder?
A flashing light usually signals a mode setting (like training) or an error. Check the manual for light indicators and reset if necessary.
How do I connect the feeder to Wi-Fi?
Open the app, tap Add Device, select Pet Feeder, then enter your 2.4 GHz Wi-Fi network and password. Keep the feeder close to the router during setup.
Can I use wet food in the PF-122?
No, this model is designed for dry food only. Using wet food may cause clogging or hygiene issues.
How do I clean the automatic feeder?
Remove the food tank and tray, wash them with mild soap and water, and wipe the base with a soft cloth. Make sure all parts are completely dry before reassembling.





Breakfast Time and Portions Setting :
Check and set lunch time and portions:
Check the time and portions of the 4th Meal:
Start Recording: